一種判斷真有效值電流變送器真偽的簡單方法
關鍵字: 真有效值電流傳感器 真有效值
本文介紹了一種簡單實用的真有效值電流測量工具的驗證方法,具有簡單實用的特點,可以在工具使用前進行技術驗證,避免選擇錯誤,造成工程選型錯誤。
引言:
我們經常在市場上看到各種標注著TRMS 的電流電壓測量產品,如各種鉗形表,數字萬用表,以及各種標稱是真有效值的電流電壓變送器等。 但有很多這樣的產品都是徒有虛名,要么使用限制性很大,不能對各種信號都進行真有效值采集測量,要么本身就是虛假宣傳。
1. 真有效值的含義及原理:
真有效值的含義是True-RMS,即真實方均根值,對于電流信號,其表達式如下:
我們可以很容易得到正弦波的電流,比如工頻市電。我們可以利用給熱水器加熱的電流進行測量,鑒定TRMS電流傳感器或者TRMS儀表的真偽。
2.真有效值產品的鑒別方法。
正常情況下,市電工頻(阻性負載,如熱水器等)的波形如下:
(圖1,正弦波全波情況)
假定此時用傳感器或者各種鉗形表或萬用表測量出的數據為I。
在電流回路中串接一個二極管進行半波整流,此時波形如下:
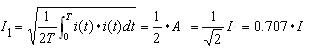
假定此時用傳感器或者各種鉗形表或萬用表測量出的數據為I,半波的有效值電流是I1,則 I1=0.707I 。計算方法如下:
所以,用戶可以通過測全波電流和半波電流,并檢查兩種電流大小的差異來判斷測量工具的功能或準確性。如果半波電流讀數是全波電流讀數的0.707倍,那么就證明這個測量工具具有真正的有效值測量功能即TRMS功能,如果讀數并不反映這種關系,那么就說明該設備不具備TRMS功能。
3. 實例:
下圖是同一個電流回路中串接了3種測量工具,從左到右分別是 FLUKE 17B(單匝測量),FLUKE 319(10匝測量) ,柏艾斯HTIC-C21真有效值傳感器(10匝測量)。
(圖4,全波狀態下的電流測量值,相差不大)
全波電流情況下,電流傳感器測量讀數為26.38A,計算過程為:(8.22-4)/16 * 100=26.38 ,與兩個福祿克表的測量值讀數相差不大。
( 圖5,半波狀態下的測量值,相差極大,福祿克鉗表顯示不正確)
在回路中串接二極管,半波整流后,電流傳感器測量讀數為18.69A,計算過程如下:(6.99-4)/16 * 100=18.69 ,與兩個福祿克表的讀數相差甚遠!
經過上述的理論我們可以清楚的知道,半波電流有效值為全波電流有效值的0.707倍。我們驗算一下傳感器兩次測量讀數之間的關系,半波情況下,HTIC-C21電流傳感器輸出理論值應該26.38 * 0.707=18.65A ,實測為18.69A,誤差僅僅0.04A,接近理想狀態! 而此時所謂的TRMS真有效值鉗形表FLUKE 319輸出值與理論值相差高達4.59A,相對誤差高達(18.933-14.34)/18.933 = 24.26% 。
以上實驗是在純阻性負載的情況下進行的實驗,波形為理想的正弦波,經過二極管半波整流后,輸出波形也比較規范。如下圖:
(圖6,純阻性負載下,用單個二極管進行半波整流后的波形)
4. 結論:
1. 真有效值測量工具的有效性可以通過簡單實驗加以證明。
2.購買真有效值傳感器或者鉗形表時,請與供應商詳細溝通,看是否真正意義上的全波形真有效值測量。
3. 柏艾斯的HTIC-C21系列真有效值電流變送器是經得住考驗的。
4. 因基于霍爾原理的HTIC-C21系列真有效值電流變送器可以測量任意波形,故使用范圍較廣。
5. 高級儀表給出錯誤讀數,可能會誤導工程設計,如電纜選擇,開關容量計算等,用戶需要高度警惕。
上一篇:交流電流變送器JIB-C15在水處理行業中對于水泵的監測應用 下一篇:閉環電流傳感器在UPS上的應用
- 2022-10-21專用的蓄電池監控電流傳感器
- 2020-03-19變頻器負載如何做電流過載保護?
- 2020-02-10磁通門高壓電壓傳感器FV家族又添新成員
- 2019-12-31柏艾斯科技推出非接觸式交流測量微安表(AC uA-Meter)
- 2019-10-24柏艾斯科技推出基于羅氏線圈技術的真有效值電流變送器
- 2019-09-06磁通門電流傳感器在直流電源系統有源逆變電網回饋裝置中的應用
責任編輯:柏艾斯編輯部
版權所有:http://www.cqkckf.com 轉載請注明出處
本文標簽:電流變送器選型 電流變送器型號 電壓傳感器原理
熱點聚焦
24小時定制電話:010-89494921






